TRƯƠNG HỒNG TRƯỜNG
Nếu ví sông Hương là ranh giới chia thành phố Huế ra hai miền Bắc - Nam lớn thì trong Kinh thành Huế được chia hai miền Bắc - Nam nhỏ hơn bởi con sông Ngự Hà. Sự kết nối hai miền được thông qua bởi những chiếc cầu được thiết lập và quy hoạch gắn bó mật thiết với vai trò và chức năng trọng yếu của sông Ngự Hà. Những chiếc cầu này hình thành trong quá trình dựng xây Kinh đô, khởi dựng từ thời vua Gia Long và hoàn chỉnh đến các đời vua Minh Mạng, Thiệu Trị... Từ những chiếc cầu gỗ hình thành ban đầu đến những chiếc cầu vòm kiên cố được xây dựng bằng gạch vồ và đá thanh tồn tại cho đến ngày nay.
1. Tổng quan lịch sử hình thành
Ngự Hà là con sông được hình thành dưới thời hai vị vua đầu tiên của triều Nguyễn. Đây là con sông vừa tự nhiên, vừa nhân tạo và tiền thân của con sông này là sông Kim Long. Khi quy hoạch và chuẩn bị mặt bằng để xây dựng Kinh thành, các nhà kiến trúc thời Gia Long đã cho san lấp một số đoạn của sông để thiết lập nên thân thành. Một số đoạn nguyên thủy của nó đã được dùng vào vài việc khác, như tạo ra các hồ, ao và lòng sông Ngự Hà1. Dòng chảy của con sông này trở nên hoàn chỉnh dưới thời Minh Mạng. Và cũng từ đây đã hình thành nên 10 chiếc cầu bắc qua con sông này trong chiều dài khoảng 3,6km. Trải dài từ Đông sang Tây của Kinh thành, bao gồm những chiếc cầu sau: cầu Thanh Long, cầu Đông Thành Thủy Quan, cầu Ngự Hà, cầu Bác Tế, cầu Khánh Ninh, cầu Bình Kiều, cầu Vĩnh Lợi, cầu Tây Thành Thủy Quan, cầu Hoằng Tế và cầu Xe Lửa. Xét riêng trong Kinh thành gồm 7 chiếc cầu, bao gồm: cầu Đông Thành Thủy Quan, cầu Ngự Hà, cầu Bác Tế, cầu Khánh Ninh, cầu Bình Kiều, cầu Vĩnh Lợi và cầu Tây Thành Thủy Quan.
Trải qua những thăng trầm về thời gian, cùng những biến cố lịch sử và thiên tai, hai cầu đã mất đi là cầu Bác Tế và cầu Bình Kiều. Hai cầu này được làm bằng gỗ và có lẽ bị sụp đổ do thiên tai bão lụt năm Thìn 19042. Trên dòng sông này còn lại 5 chiếc cầu cho đến ngày nay. Chính điều này đặt ra không ít những thách thức, những vấn đề trong công tác bảo tồn kiến trúc các cầu vòm cũng như áp lực giao thông kết nối hai miền Bắc - Nam bên trong Kinh thành trong bối cảnh ngày càng phát triển của đô thị.
![]() |
| Họa đồ Kinh thành Huế với 10 chiếc cầu bắc qua sông Ngự Hà: 1) Thanh Long; 2) Đông Thành Thủy Quan; 3) Ngự Hà; 4) Bác Tế; 5) Khánh Ninh; 6) Bình Kiều; 7) Vĩnh Lợi; 8) Tây Thành Thủy Quan; 9) Hoằng Tế; 10) Xe Lửa. (Nguồn: Đại Nam nhất thống chí). |
![]() |
| Tổng thể vị trí 5 chiếc cầu bắc qua sông Ngự Hà trong Kinh thành: 1) Đông Thành Thủy Quan; 2) Ngự Hà; 3) Khánh Ninh; 4) Vĩnh Lợi; 5) Tây Thành Thủy Quan. |
2. Đặc điểm kiến trúc và vai trò kết nối giao thông của các cầu bắc qua sông Ngự Hà trong Kinh thành Huế
2.1. Đặc điểm kiến trúc của các cầu bắc qua sông Ngự Hà
2.1.1. Đặc điểm kiến trúc và nguyên nhân dẫn đến sự xuống cấp của các cầu vòm
Sự tồn tại của 5 chiếc cầu vòm bắc qua sông Ngự Hà trong Kinh thành cho đến ngày nay là một khoảng thời gian gần 2 thế kỷ. Đó là một khoảng thời gian đủ dài để nhìn nhận sức chịu đựng của các vật liệu xây dựng nên các cầu. Cùng với những tác động tiêu cực từ yếu tố thiên nhiên và con người qua quá trình sử dụng đã làm hư hại về mặt cấu trúc cầu cũng như các thành phần và các chi tiết kiến trúc.
![]() |
| Ảnh chân vòm cầu Khánh Ninh bị hư hại nghiêm trọng (12-2022) |
![]() |
| Ảnh trụ đá lan can cầu bị hư hại ở cầu Đông Thành Thủy Quan (12-2022) |
Nhìn chung, thực trạng của 5 chiếc cầu hiện nay bắc qua sông Ngự Hà đang dần xuống cấp với nhiều vết nứt lớn và những hư hại tăng dần theo năm tháng. Những thành phần, chi tiết kiến trúc mất đi do hư hỏng theo thời gian hoặc được xây mới lại một cách không hoàn chỉnh bởi những tác động của con người. Do vậy, đây là vấn đề thực sự cấp thiết để đề xuất các giải pháp trùng tu và bảo tồn những chiếc cầu này trong thời điểm hiện tại.
Sự xuống cấp kiến trúc của các cầu vòm bởi các nguyên nhân chủ yếu sau:
Thứ nhất, điều kiện khí hậu khắc nghiệt của vùng miền thường xuyên gây những tác động tiêu cực đến hệ thống cầu, như sự chênh lệch nhiệt độ, sụt lún địa chất theo thời gian gây nên những vết nứt thân cầu.
Thứ hai, các thành phần, chi tiết kiến trúc của cầu hư hỏng do nguyên nhân chiến tranh trước đây, như trong cuộc tổng tấn công và nổi dậy Tết Mậu Thân - 1968.
Thứ ba, thực vật xâm hại, bám vào các bề mặt cầu theo thời gian, gây nên những hư hại bề mặt thân cầu.
Thứ tư, lòng cầu được trải nhựa asphalt hiện nay thay vì làm giảm độ dốc của cầu thì đã bào mòn các lớp gạch thuộc vòm kết cấu chịu lực chính của cầu một cách nghiêm trọng (cầu Khánh Ninh).
Thứ năm, sự quá tải bởi các phương tiện lưu thông qua cầu thường xuyên gây áp lực lên khả năng chịu lực của các cầu do việc phân luồng giao thông ra vào Kinh thành chưa thực sự hợp lý.
Bảng Tổng hợp đặc điểm cơ bản của 5 cầu bắc qua sông Ngự Hà trong Kinh thành Huế

Thứ sáu, sự gia tăng dân số (4 phường hiện nay: Đông Ba, Thuận Lộc, Tây Lộc và Thuận Hòa) cùng với sự thiếu ý thức của người dân làm hư hại các chi tiết và thành phần kiến trúc cầu trong quá trình sử dụng.
2.1.2. Các thành phần cấu trúc cầu
![]() |
| Minh họa điển hình các thành phần cấu trúc cầu vòm (cầu Tây Thành Thủy Quan) |
Qua khảo sát và phân tích, 5 cầu bắc qua sông Ngự Hà trong Kinh thành có những thành phần, cấu trúc và đặc điểm chung như sau:
1. Viên đá (gạch) hình nêm - Keystone
2. Các viên đá (gạch) xếp hình cung tròn - Voussoirs
3. Thành vòm trong - Intrados
4. Thành vòm ngoài - Extrados
5. Mố cầu - Abutment: được xây bằng gạch vồ với chiều dày trung bình từ 1,2 - 1,5 m.
6. Tường cánh mố cầu - Wing Wall: được xây bằng gạch vồ. Tường cánh có chức năng hỗ trợ lực tải truyền theo phương ngang của mố cầu.
7. Đai cầu - Belt Course: thành phần phân chia tương ứng mặt đường trên cầu. Đai cầu nằm giữa thân cầu và lan can.
8. Lan can - Parepet: được xây bằng đá hoặc gạch vồ.
9. Thành lan can - Capstone: là thành phần trên cùng của lan can. Vật liệu được sử dụng ở đây là đá hoặc gạch vồ tại các cầu.
10. Đường đáy vòm - Springing Line: là đường giới hạn của đáy cung tròn với phần chân móng cầu.
11. Độ cao của vòm - Rise: là khoảng cách tính từ đường đáy vòm đến đỉnh vòm thành trong.
12. Nhịp vòm - Span: là khoảng đỡ của cầu. (Riêng với Ngự Hà, cầu được cấu trúc bởi 3 nhịp vòm tương ứng với 3 vòm cầu).
13. Lớp dăm đá - Fill Material: là khối đá dăm được nén chặt bên trong thân cầu.
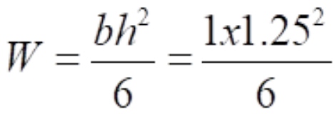
2.1.3. Phân tích tải trọng
Phân tích tải trọng kết cấu vòm cầu điển hình: cầu Vĩnh Lợi và cầu Khánh Ninh (với bán kính vòm 3,2 m).
1) Các giả thiết
Để đơn giản tính toán khả năng chịu tải của cầu, ta giả thiết như sau:
- Giả sử khả năng chịu tải của nền đất bên dưới cống vòm đảm bảo chịu lực tốt.
- Bỏ qua khả năng làm việc của 2 cánh, cầu dễ bị phá hoại nhất với tiết diện nguy hiểm nhất là tiết diện giữa cầu, được xây vòm bằng gạch 250 x 250 x 500, xây 6 lớp bằng vữa vôi mật liên kết.
- Xét vòm cong và thiên về an toàn cho tính toán với R=3.8m (3.20m+1.250*0.5≈3.8m)
2) Các thông số
Theo Bảng 9, Tiêu chuẩn TCVN 5573-2011: Kết cấu gạch đá và gạch đá cốt thép theo tiêu chuẩn thiết kế, ta có:
- R là cường độ chịu nén tính toán của khối xây gạch thông thường; R=1.7*0.75=1.275MPa=127,5T/m2
- Rc là cường độ chịu cắt tính toán của khối xây gạch không có cốt thép: Rc =0.24*0.75=0.18MPa=18.0 T/m2
- Rku là cường độ chịu kéo khi uốn của khối xây gạch không có cốt thép: Rku =0.25*0.75=0.1875MPa=18.75 T/m2
Trong đó 0.75 là hệ số điều kiện làm việc.
3) Tải trọng
+ Tải trọng bản thân các lớp (Dead load), xét 1m dài dọc cầu ta có:
![]() |
+ Tải trọng xe (Live load), đặt N=1.0T ở đỉnh vòm cầu
4) Sơ đồ tính và các biểu đồ nội lực
![]() |
![]() |
| q=3.0T/m Q=1.0T |
![]() |
| Biểu đồ lực dọc N với q=3.0T/m Biểu đồ lực dọc với Q=1.0T |
![]() |
| Biểu đồ moment với q=3.0T/m Biểu đồ moment dọc với Q=1.0T |
5) Kiểm tra điều kiện chịu nén của vòm gạch N
md .f.R.A
Trong đó:
• md : Hệ số xét ảnh hưởng tác dụng dài hạn của tải trọng, lấy md =1.0 vì h>30cm
• f : Hệ số uốn dọc phụ thuộc vào độ mảnh: 
• h : Là chiều rộng tiết diện cột hoặc chiều dày tường
• l : Là chiều cao tính toán
Þ Từ đó ta có 
Từ biểu đồ moment, ta suy ra tải trọng Qmax trong trường hợp thỏa điều kiện chịu uốn: 
6) Kiểm tra điều kiện chịu uốn của vòm gạch M
RkuW
Trong đó:
• W: mô men kháng uốn của tiết diện khối xây, 
• Rku là cường độ chịu kéo khi uốn của khối xây gạch: Rku =18.75 T/m2
Þ Từ đó ta có 
Từ biểu đồ moment Hình 4, ta suy ra tải trọng Qmax trong trường hợp thỏa điều kiện chịu uốn: 
Từ (1) và (2), ta suy ra tải trọng Qmax=7.625T, để thiên về an toàn, ta lấy hệ số vượt tải n=1.5 -> Tổng tải trọng xe cho phép qua cầu:

Từ kết quả tính toán khái quát này, có thể thấy các biển báo tải trọng (5T) đặt tại các đầu cầu hiện tại là hoàn toàn phù hợp.
2.2. Vai trò giao thông của các cầu bắc qua sông Ngự Hà
2.2.1. Thực trạng giao thông
Có thể nói việc giao thông qua các cầu bắc qua sông Ngự Hà ngày nay là một vấn đề cấp bách trong lưu thông. Một mặt, lòng cầu tương đối hẹp so với độ rộng của các tuyến đường giao thông chính và chỉ đáp ứng cho các phương tiện cơ giới lưu thông tốt một chiều. Điều này gây ra xung đột, tắc nghẽn tại các điểm cầu trong việc tham gia giao thông của người dân. Mặt khác, số lượng phương tiện dự báo ngày càng tăng dẫn đến sự quá tải đặt lên các cầu này.
![]() |
![]() |
|
Bảng ước lượng phương tiện 4 phường (dựa trên số liệu điều tra dân số năm 2020) Số phương tiện lưu thông trong 5 phút tại các cầu: 1) Đông Thành Thủy Quan; 2) Ngự Hà; 3) Khánh Ninh; 4) Vĩnh Lợi; 5) Tây Thành Thủy Quan |
2.2.2 Kết nối giao thông đường bộ
Việc thiếu mất đi hai chiếc cầu Bác Tế và Bình Kiều trong lịch sử, đã làm tăng áp lực lưu thông và vai trò kết nối huyết mạch giao thông đường bộ hai miền Bắc - Nam trong Kinh thành chỉ thông qua 5 chiếc cầu vòm này. Cả 5 chiếc cầu này đóng một vai trò cực kỳ quan trọng trong tổng thể kiến trúc cảnh quan và kết nối giao thông hai miền Bắc - Nam cho tất cả các loại hình phương tiện lưu thông qua 5 trục giao thông chính. Bao gồm:
- Trục giao thông đường Xuân 68 gắn liền với các điểm nhấn cảnh quan, kiến trúc: Cửa Đông Ba, sông Ngự Hà, miếu Lương Y và Cửa Kẻ Trài.
- Trục giao thông đường Đinh Tiên Hoàng gắn liền với các điểm nhấn cảnh quan, kiến trúc: Cửa Thượng Tứ, hồ Tịnh Tâm, Tàng Thư Lâu và Cửa Chánh Bắc.
- Trục giao thông đường Trần Văn Kỷ gắn liền với các điểm nhấn cảnh quan, kiến trúc: Đại Nội, sông Ngự Hà và nhà thờ Giáo xứ Tây Linh.
- Trục giao thông đường Nguyễn Trãi gắn liền với các điểm nhấn cảnh quan, kiến trúc: Cửa Nhà Đồ, Đàn Xã Tắc, sông Ngự Hà và Cửa An Hòa.
- Trục giao thông đường Tôn Thất Thiệp gắn liền với các điểm nhấn cảnh quan, kiến trúc: Cửa Hữu, sông Ngự Hà và Cửa Chánh Tây.
![]() |
| Sơ đồ liên hệ các trục giao thông chính trong Kinh thành |
2.2.3. Kết nối giao thông đường thủy
![]() |
| Dòng chảy của sông Ngự Hà qua các cầu vòm: 1. Đông Thành Thủy Quan, 2. Ngự Hà, 3. Khánh Ninh, 4. Vĩnh Lợi, 5. Tây Thành Thủy Quan |
Việc kết nối tuyến đường thủy từ phía Đông sang phía Tây của Kinh thành thông qua hai cửa thành bằng đường thủy là Đông Thành Thủy Quan và Tây Thành Thủy Quan. Theo các tài liệu tham khảo, tuyến giao thông này trước đây được sử dụng chủ yếu cho việc vận chuyển lương thực, ngân khố3 và là tuyến vọng cảnh bằng đường thuyền của nhà vua trước kia. Ngày nay, tuyến đường thủy này đang được coi trọng trong việc định hướng và quy hoạch trong phát triển các dịch vụ, du lịch.
3. Đề xuất giải pháp tổ chức giao thông
Thứ nhất, cần hạn chế và giảm thiểu các phương tiện cơ giới có tải trọng lớn vào ra Kinh thành, nhằm giảm áp lực tải trọng lên sức chịu tải của các cầu vòm và tắc nghẽn giao thông cục bộ tại các điểm cầu.
Thứ hai, tổ chức phân luồng phương tiện lưu thông một cách hợp lý trong giao thông đối nội và đối ngoại của Kinh thành.
Thứ ba, xây dựng cơ sở hạ tầng kỹ thuật đô thị hoàn chỉnh và quy hoạch các tuyến giao thông công cộng (xe bus) hợp lý. Khuyến nghị, tuyên truyền người dân sử dụng các phương tiện giao thông công cộng, phương tiện giao thông xanh.
![]() |
| Giải pháp “Vòng giao thông tuần hoàn” thông qua 4 trục chính |
Đề xuất giải pháp cụ thể: Dựa trên những thông số tải trọng tính toán điển hình và thực trạng giao thông, từ đó, đề xuất một hệ giao thông kết nối bên trong và bên ngoài Kinh thành, tạo nên một “vòng giao thông tuần hoàn”. “Vòng giao thông tuần hoàn” này được thiết lập dựa trên 4 trục giao thông chính. Bao gồm: Trục 1: Phương tiện giao thông vào từ Cửa Nhà Đồ - đường Nguyễn Trãi - lối ra Cửa An Hòa; Trục 2: Phương tiện giao thông vào từ Cửa Chánh Bắc - đường Đinh Tiên Hoàng - lối ra Cửa Thượng Tứ; Trục 3: Phương tiện giao thông vào từ Cửa Đông Ba - đường Mai Thúc Loan - đường Đặng Thái Thân - đường Yết Kiêu - lối ra Cửa Hữu; Trục 4: Phương tiện giao thông vào từ Cửa Chánh Tây - đường Thái Phiên -lối ra Cửa Kẻ Trài. Đây là 4 trục chính được tổ chức giao thông 1 chiều ra vào Kinh thành kết nối bởi 8 cổng thành hiện tại. Thông qua 4 nút giao thông được giao cắt bởi 4 trục chính, sẽ thiết lập thêm các “vòng giao thông tuần hoàn thứ cấp” tiếp theo xung quanh các nút này. Giải pháp đề xuất này sẽ giúp giảm tải và giảm áp lực lên hệ thống giao thông cho toàn Kinh thành nói chung và áp lực lưu thông lên hệ thống cầu vòm gạch - đá bắc qua sông Ngự Hà nói riêng, nhằm đảm bảo lưu thông tốt và liền lạc hơn.
*
Ngày nay, cùng với sự giãn nở đa chiều trong chiến lược phát triển kinh tế và định hướng đô thị, thành phố đã được mở rộng và phát triển với nhiều thành tựu. Trong bối cảnh đó, những chiếc cầu được xây bằng gạch vồ và đá thanh xưa, tuy trải qua thời gian dài với những năm tháng thăng trầm cùng những biến cố lịch sử nhưng vẫn giữ những nét đặc trưng, những giá trị cao quý về mặt lịch sử, văn hóa cũng như di sản kiến trúc trong lòng đô thị.
T.H.T
(TCSH413/07-2023)
----------------------------
1 “Người ta cũng hình dung những ao sâu ở trong thành của vườn Tịnh Tâm và những ao bọc quanh Tàng Thơ Lâu cũng là dấu vết của đáy sông cũ…”, BAVH, Những người bạn cố đô Huế - Tập II (1915), Nxb. Thuận Hóa, Huế. tr. 26.
2 “Cầu Bác Tế đã biến mất từ lâu, có lẽ nó đã sụp đổ trong trận bão năm Thìn (1904), rồi triệt giải luôn…”, Phan Thuận An (1999), Kinh thành Huế, Nxb. Thuận Hóa, tr. 272.
3 "Con sông bao bọc ở ba cạnh mảnh đất các vựa và kho của vua. Con sông ấy đào là để cho đò và thuyền có thể đậu tận cửa các vựa, kho để tiện lợi trong việc vận chuyển lúa và các thứ khác từ các tỉnh trong vương quốc hay từ các nước khác...", BAVH, Những người bạn cố đô Huế - Tập II, sđd, tr.29.
____________________
Tài liệu tham khảo:
1. Tạp chí nghiên cứu và phát triển (2002), Tuyển tập những bài nghiên cứu về triều Nguyễn, Xí nghiệp in Chuyên Dùng Thừa Thiên Huế.
2. Tuyển tập B.A.V.H - Những người bạn cố đô Huế (gồm 4 tập I, II, III, IV tái bản) (2017), Nxb. Thuận Hóa.
3. Phan Thuận An (1999), Kinh thành Huế, Nxb. Thuận Hóa.
4. Dương Phước Thu (2004), Huế - Tên đường phố xưa & nay, Nxb. Thuận Hóa.
5. Jan Gehl (2019), Đô thị vị nhân sinh, Nxb. Xây Dựng.